Translate

Download Mcintyre Solution Manual PDF

Reading Online Mcintyre Solution Manual Paperback





  • Read Ingersoll Rand Serial Number Guide Kindle Editon
  • Download Vatican Ii: The Essential Texts PDF
  • Read 2 2 Ecotec Balance Shaft Timing Marks Epub
  • Read The-Slight-Edge Audio CD
  • Read Fox Fluid Mechanics 8th Edition Solutions Library Binding
  • Read Online American-School-Algebra-2-Exam-Answers Audio CD
  • Download Footnotes In Gaza Paperback
  • Read Animal Locomotion (Paperback) rtf
  • Read Ford Festiva Workshop Manual For Free rtf
  • Read Online Schofield And Sims Ks2 Comprehension 4 Answers Reader
  • Download Outboard Service Manuals Download PDF
  • Read Arabic Version Of Beck Depression Inventory Epub
  • Read Stories.From.Ancient.Canaan.Second.Edition Reader
  • Download The Statistical Probability Of Falling In Love Pdf Library Binding
  • Read Teacher Solution Manual For Statistics 12th Reader
  • Read Online Thief Study Guide Answers Learning Links Inc rtf
  • Read Earth Science January 29 January Regents Answer Doc
  • Download Repair Manual Volvopenta Saildrive Audio CD
  • Read Online Holt Physics Chapter Test Answers PDF
  • Read Online Textbook Of Pediatric Infectious Diseases 5th Ed Vol 2 Audio CD

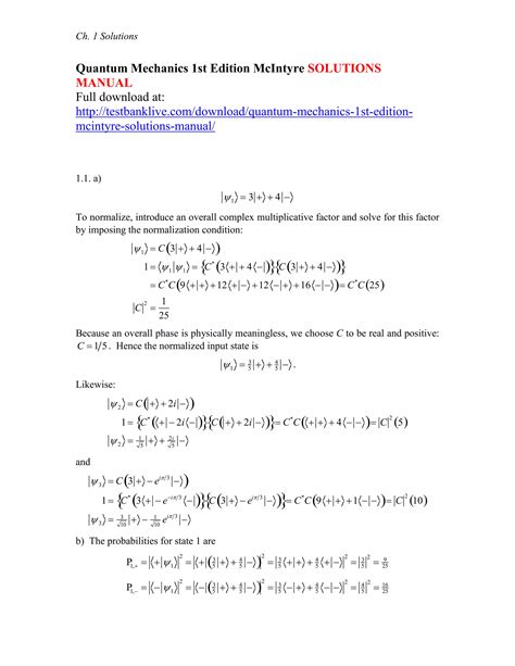
  • Mcintyre Solution Manual

    Mcintyre Solution Manual

    Mcintyre Solution Manual


    0 Response to "Download Mcintyre Solution Manual PDF"

    Post a Comment